[arXiv](Current version v3)
참고: 다른 분의 논문 리뷰
(저분의 리뷰에 중요한 부분이 빠져 있어서 요약할 겸 작성함)
Abstract
Self-attention의 메모리 복잡도 줄이기
Algorithm
기존 attention:

길이가 n인 스퀀스에서 단일 쿼리에 대해 모든 si를 계산하고 기억해야 하므로 시간 및 메모리 복잡도는 O(n).
Self-attention은 모든 쿼리에 대해 계산되므로 O(n2).
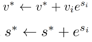
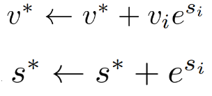
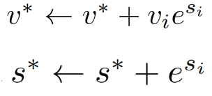
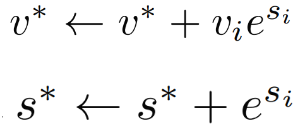
단일 쿼리에 대한 알고리즘을 다음과 같이 변경한다.

그리고 한 번의 QKV 연산이 진행될 때마다 v*, s*를 업데이트한 후 다른 중간 계산값은 다 버린다.

모든 연산이 다 진행된 후 v*/s*를 구하기만 하면 된다. 이렇게 하면 두 개의 상수 메모리 밖에 소모되지 않는다.
Numerical Stability
보통 지수 함수의 불안정성 때문에 실제로는 original softmax가 아닌 safe softmax(이 파트 이해하려면 무조건 봐야 함)를 사용한다. 그러나 중간 값을 다 버리기 때문에 max값을 계산할 수가 없다.
따라서 max값을 저장하는 변수 m을 추가하고

QKV 연산마다 다음과 같이 v*, s*, m*를 업데이트한다.

Experiments
계산 과정을 건드리지 않았기 때문에 당연하지만 성능 변화 없음.

'논문 리뷰 > Language Model' 카테고리의 다른 글
| GLM-130B: An Open Bilingual Pre-trained Model (0) | 2023.11.13 |
|---|---|
| Sparse Fine-tuning for Inference Acceleration of Large Language Models (0) | 2023.11.03 |
| Ring Attention with Blockwise Transformers for Near-Infinite Context (0) | 2023.10.25 |
| Blockwise Parallel Transformer for Large Context Models (BPT) (1) | 2023.10.24 |
| Blockwise Self-Attention for Long Document Understanding (BlockBERT) (1) | 2023.10.23 |
| TEQ: Trainable Equivalent Transformation for Quantization of LLMs (1) | 2023.10.23 |