[Github]
[arXiv](Current version v2)
Abstract
더 적은 메모리 액세스로 softmax 계산
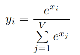
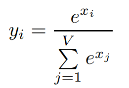
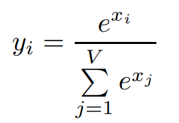
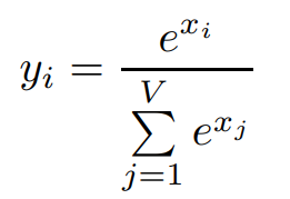
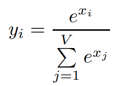
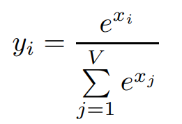
Original softmax
일반적인 softmax:


벡터 당 총 3번의 메모리 액세스가 발생한다.
(정규화 항 dV 계산, 출력값 계산, 저장)
하지만 현재 대부분의 딥러닝 작업에서는 지수함수의 오버플로우 위험 때문에 safe softmax를 사용한다.


하지만 safe softmax는 최댓값을 구하는 과정이 추가되어 총 4번의 메모리 액세스가 발생한다.
Online normalizer calculation
온라인으로 최댓값과 정규화 항을 업데이트하는 방식으로 메모리 액세스를 3번으로 줄일 수 있다.
(이 논문에 있는 수학은 증명이 어렵지 않으니 한 번 써 보면서 읽는 걸 추천함)

Parallel online normalizer calculation
병렬 스레드에서 online softmax를 계산하는 방법:

Softmax and top-k fusion
Beam search와 같이 softmax → TopK 순서로 진행되는 경우, 일반적으로 5번의 메모리 액세스가 필요하다.

하지만 online으로 메모리 효율적으로 처리할 수 있다.

Benchmarking


'논문 리뷰 > etc.' 카테고리의 다른 글
| The Optimal BERT Surgeon: Scalable and Accurate Second-Order Pruning for Large Language Models (oBERT) (1) | 2023.10.30 | 
|---|---|
| WoodFisher: Efficient Second-Order Approximation for Neural Network Compression (1) | 2023.10.27 | 
| Accelerated Sparse Neural Training (0) | 2023.10.26 | 
| Towards An End-to-End Framework for Flow-Guided Video Inpainting (E2FGVI) (1) | 2023.10.12 | 
| Flow-edge Guided Video Completion (FGVC) (3) | 2023.10.11 | 
| Deep Flow-Guided Video Inpainting (1) | 2023.10.10 |