시간적, 공간적 transformer를 이용한 flow-guided video inpainting
[Github]
[arXiv], [Supplementary]
![]() |
![]() |
Abstract
Flow-guided Transformer 제안
Introduction
FGT는 2 part로 구성:
- Flow completion network
- Flow-guided transformer
Flow completion network :
시공간적으로 분리된 P3D block을 U-Net에 통합.
Edge loss 도입.
Flow-guided transformer :
Spatial, temporal attention 분리
Optical flow는 spatial transformer에서만 사용
Temporal attention은 시공간적으로, spatial attention은 동일 프레임 내에서만 수행
Flow-reweight module
Window 분할
Dual perspective spatial MHSA(Multi-Head self-attention)
Method
Network overview
Local Aggregation Flow Completion network (LAFC)와
Flow completion and a Flow-Guided Transformer (FGT)로 구성됨.

Local aggregation flow completion network

Local flow aggregation
LAFC에 pseudo-3D(P3D) block, 잔차 연결 채택.
Fforward, Fbackward를 모두 F로 표기.
Target flow에 대해 손상된 흐름 시퀀스가 주어지면 Laplacian filling으로 초기화된 흐름 시퀀스 F̃를 얻고 LAFC에 입력

m번째 P3D block의 입력 흐름을 fm 이라 할 때,

(Temporal convolution, Spatial convolution)
Edge loss
대부분의 영역이 매끄러운 flow field의 특성 때문에 edge가 모호해질 수 있음.
F̂t에 대해 간단한 projection network Pe를 사용하여 ground truth에서 canny edge detector로 검출한 edge와 비교하는 edge loss 도입.

Loss function
L1 loss:

Smoothness loss:

큰 warp error를 방지하기 위한 Lw,
Total loss:

Flow-guided transformer for video inpainting
먼 flow 간의 상관관계가 높지 않아 temporal attention에는 flow를 통합하지 않음.
첫 번째 transformer block 이후에 CVPT에서 제안한 positional encoding 방법을 사용한다.

Temporal transformer
Token map을 큰 window로 나누고 서로 다른 프레임에 걸쳐 self-attention 수행.

Flow guidance integration
Optical flow에서 foreground와 background의 움직임의 차이는 둘의 관계를 알려주고 유사한 움직임을 가진 토큰은 관련성이 더 높다. Flow가 유용한 정보를 주기 때문에 frame token과 통합.

하지만 flow token(TF)과 frame token(TI)을 연결하는 것은 문제가 있는데,
- 완성된 flow가 완벽하지 않음
- 외견은 객체 내에서 많이 다를 수 있지만, flow는 유사해 혼란을 줄 수 있다.
따라서 flow-reweight module 설계

(+ concat frame token map)

Dual perspective spatial MHSA
입력 token map을 window로 나누고 내부에서 self-attention.
하지만 window에 누락된 영역의 토큰이 많이 포함되어 있으면 정확도가 떨어짐.
따라서 Depth-wise convolution으로 압축된 global token들을 가져와서 Key, Value로 사용.

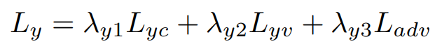
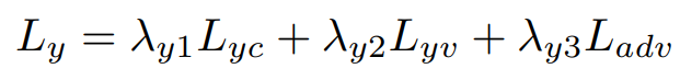
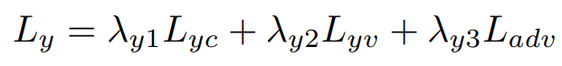
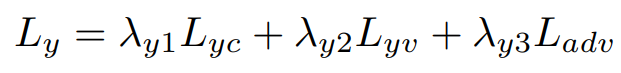
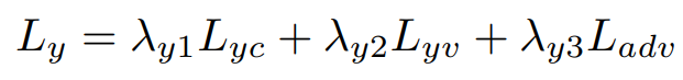
Loss function
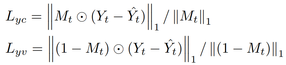
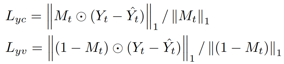
재구성 손실(M = mask, Y = ground truth)

T-Patch GAN을 기반으로 한 적대적 hinge loss

Total loss:

Experiments
https://www.youtube.com/watch?v=BC32n-NncPs
'논문 리뷰 > Vision Transformer' 카테고리의 다른 글
| EVA: Exploring the Limits of Masked Visual Representation Learning at Scale (1) | 2023.10.18 |
|---|---|
| Semantic-SAM: Segment and Recognize Anything at Any Granularity (1) | 2023.10.18 |
| ProPainter: Improving Propagation and Transformer for Video Inpainting (3) | 2023.10.12 |
| FuseFormer: Fusing Fine-Grained Information in Transformers for Video Inpainting (0) | 2023.10.10 |
| StyleDrop: Text-to-Image Generation in Any Style (1) | 2023.09.26 |
| Fast Segment Anything (FastSAM) (1) | 2023.07.14 |

