Abstract
반복 아키텍처, 반복 알고리즘을 통해 작은 문제를 해결할 수 있는 알고리즘을 반복하여 더 크고 복잡한 문제를 해결할 수 있도록 알고리즘 외삽을 수행한다.
[Github]
[arXiv](2022/10/14 version v3)
Methods

2, 3번째 그림처럼 같은 블록이 여러 번 반복되는 아키텍처를 생각해 보자.
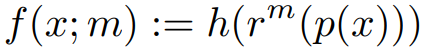
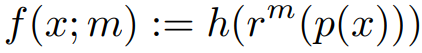
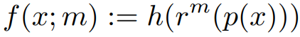
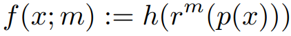
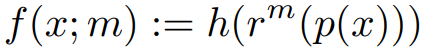
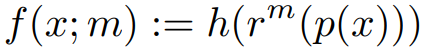
임베딩 함수는 p, 출력 헤드는 h, 블록의 반복을 다음과 같이 표기하고

블록의 출력은 이렇게 표기한다.

전체 네트워크를 간단하게 표기할 수 있다.

Recall architectures
문제 해결을 위해 오랫동안 생각할 때, 우리는 종종 질문이나 작업을 다시 검토한다.
이에 착안하여 이전 블록의 출력에 입력을 연결하여 제공. (차원을 맞추기 위한 컨볼루션 레이어 사용)

Promoting forward progress through optimization
훈련 알고리즘.

Gradient를 계산하지 않고 n번 반복 (출력을 다시 입력으로 사용), 그다음 k번 반복.
별개로 다시 m번 반복하고 (n + k ≤ m) 두 손실을 모두 최종 손실에 반영한다.
이런 짓을 하는 이유:
- 네트워크는 많은 반복 동안 오류가 포함된 부분적인 해결책의 품질 지속적으로 향상시키도록 훈련된다.
- 임의의 반복부터 시작함으로써 특정 반복에 특정 행동을 학습하는 것을 방지한다.
Extreme extrapolation
9×9 미로를 해결할 수 있는 네트워크를 DeepThinking System을 통해 더 오랫동안 실행함으로써 더 큰 미로를 해결할 수 있도록 외삽하였다.

'논문 리뷰 > etc.' 카테고리의 다른 글
| LivePortrait: Efficient Portrait Animation with Stitching and Retargeting Control (0) | 2024.07.25 |
|---|---|
| Diffusion for World Modeling: Visual Details Matter in Atari (DIAMOND) (0) | 2024.05.28 |
| Your Transformer is Secretly Linear (1) | 2024.05.26 |
| The Platonic Representation Hypothesis (1) | 2024.05.22 |
| Is Flash Attention Stable? (0) | 2024.05.13 |
| Dynamic Typography: Bringing Text to Life via Video Diffusion Prior (0) | 2024.04.22 |