[Github]
[arXiv](Current version v3)
Abstract
에너지 기반 모델이 확률 분포를 직접 결합함으로써 개념의 결합, 분리, 부정을 동시에 만족하는 자연스러운 이미지를 생성할 수 있음을 보여준다.
Method
Energy-Based Models
Langevin dynamics를 사용한 EBM 샘플링:

Composition of Energy-Based Models
다음 그림은 CelebA face dataset에서 각 개념에 대해 독립적으로 훈련된 EBMs set의 조합을 보여준다.


Concept Conjunction

다음과 같이 샘플링한다.

Concept Disjunction
각 개념에 대한 or 분포는 likelihood의 합과 비례한다. 교집합 항은 무시? 하는 듯?

각 개념에 대한 partition function Z가 동일하다고 가정하면 단순화할 수 있다. 경험적으로 비슷하다고 함. 걍 지맘대로네 

샘플링

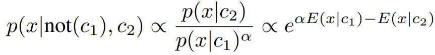
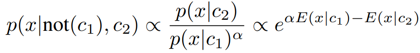
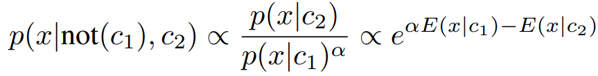
Concept Negation
부정은 다른 개념과 관련하여 정의되어야 한다. 예를 들어, 살아 있음의 반대는 죽음일 수 있지만, 무생물은 살아있지 않지만 살아 있음의 반대 개념은 아니다.

샘플링

Recursive Concept Combinations
정의된 3가지 논리 연산자는 추론 시 더 복잡한 논리 연산을 위해 재귀적으로 연결될 수 있다.
'논문 리뷰 > etc.' 카테고리의 다른 글
| TOOD: Task-aligned One-stage Object Detection (0) | 2024.02.07 | 
|---|---|
| Zero Bubble Pipeline Parallelism (0) | 2024.01.26 | 
| Fine-Tuning can Distort Pretrained Features and Underperform Out-of-Distribution (LP-FT) (0) | 2024.01.25 | 
| Implicit Generation and Modeling with Energy-Based Models (0) | 2024.01.02 | 
| Coincidence, Categorization, and Consolidation: Learning to Recognize Sounds with Minimal Supervision (0) | 2023.12.15 | 
| Look, Listen and Learn (0) | 2023.12.15 |