순수 Conv로만 이루어낸 ConvNeXt + MAE

Abstract
ConvNet에 masked autoencoder(MAE)와 같은 자체 지도 학습을 도입했을 때, 성능이 낮아졌다.
본 논문에서는 ConNeXt 아키텍처에 fully convolutional masked autoencoder framework를 도입하고 채널 간 feature competition을 강화하기 위해 Global Response Normalization (GRN) layer를 추가한다.
Introduction
MAE는 애초에 transformer sequence 처리에 최적화되어 있기 때문에 ConvNet에 적용했을 때 성능이 좋지 않고, 따라서 Conv용 MAE를 설계하는 것이 본 논문의 목표이다.
3D point cloud를 처리하는 데 쓰이는 sparse convolution에 영감을 받아, 마스킹된 입력을 희소 패치 세트로 취급하고 희소 컨볼루션으로 처리한다.
Finetuning 시 특별한 처리 없이 표준 밀도로 변형되고, transformer decoder를 ConvNeXt block으로 대체해 완전한 컨볼루션 설계로 만든다.
추가적인 개선으로 마스크된 입력에서 ConvNeXt를 훈련할 때 MLP 계층의 문제를 식별하고, 채널 간 feature competition을 강화하기 위해 GRN 계층을 추가한다.
Related Work
Fully Convolutional Masked Autoencoder

Masking
마스킹 비율 0.6
마스크는 가장 낮은 해상도에서 생성되어 업샘플링
증강은 only random resized cropping
Encoder Design
Transformer에서는 feature가 이미지 형태로 존재하지 않기 때문에 단순 이미지 복붙을 배우는 것을 막기 쉽지만 conv에서는 그렇지 않다. 마스크 토큰을 학습 가능하게 하는 것은 train-test 불일치를 초래함.
해결책은 마스킹된 이미지를 희소 데이터의 관점으로 보는 것이다.
인코더의 컨볼루션 계층을 가시 데이터에만 작동하는 submanifold sparse convolution으로 대체한다.

희소 데이터가 아닌 finetuning 단계에서는 정상 컨볼루션처럼 잘 작동한다.
Decoder design
디코더는 512차원의 단일 ConvNeXt block을 사용한다.
계층적 구조의 인코더에 비하면 매우 비대칭이지만 복잡한 다른 디코더들 보다 빠르고 우수한 성능을 보여줬다.


Reconstruction target
재구성 이미지의 마스킹 되었던 부분과 목표 이미지와의 MSE 계산
FCMAE
위의 구성요소들을 조합한 것을 Fully Convolutional Masked AutoEncoder라고 정함.
ConvNeXt-Base에서 pre-train 800ep, fine-tune 100ep 기준으로 ablation study 진행.
희소 컨볼루션 좋아요.

Fine-tune 지도 학습 300ep에게는 아쉽게 패배...

Global Response Normalization
FCMAE의 문제점을 찾아 강화시켜 보자.
Feature collapse
차원 확장 MLP 계층에서 포화된 feature map이 발견됨. (V1 부분)

Feature cosine distance analysis
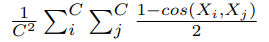
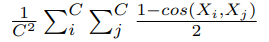
Feature map의 i번째 채널을 Xi라고 할 때, Xi를 HxW 벡터로 바꾸고 각 채널간의 pair-wise cosine distance 계산.

위 식의 값이 클수록 다양한 feature를 나타낸다고 볼 수 있다.
확실히 Conv + MAE인 V1 FCMAE는 바닥에 있다.

Approach
뇌에서 개별 뉴런의 선택성을 높이고 뉴런 모집단의 반응 다양성을 증진하는 lateral inhibition에서 영감을 받았다고 한다.
그렇게 만들어진 GRN(Global Response Normalization)은 세 단계로 구성된다.
- Global feature aggregation
- Feature normalization
- Feature calibration
먼저 Xi를 일종의 pooling인 G()로 집계


L2 norm이 가장 좋았다고.

정규화

해당 정규화가 lateral inhibition에 의해 channel competition을 발생시킨다고 한다.

적용

피라미터 γ, β와 잔차 연결 추가

좋아요.

코드 세 줄로 가능

ConvNeXt V2
GRN에 정규화가 들어있어서 LayerScale 뺌.

좋아요.

Relation to feature normalization methods

Relation to feature gating methods

ImageNet Experiments




