사전 훈련된 확산 모델을 이용한 zero-shot 이미지 복원 모델
https://paperswithcode.com/paper/zero-shot-image-restoration-using-denoising
Papers with Code - Zero-Shot Image Restoration Using Denoising Diffusion Null-Space Model
Implemented in one code library.
paperswithcode.com
Abstract
추가 교육이나 네트워크 수정 없이 생성 prior로 사전 교육된 확산 모델만 있으면 되는 제로샷 이미지 복원 모델 Denoising Diffusion Null-Space Model (DDNM)을 제안. 이는 역확산 과정에서 null-space 내용만을 정제하는 것으로 다양한 작업 가능.
또한 강화 버전인 DDNM+도 있음.
Introduction
이미지 복원(IR)은 저하된 이미지 y (=Ax + n)에서 x̂을 생성하는 것이 목표.
일반적인 솔루션 :

첫째 항으로 데이터 최적화, 둘째 항은 자연스러운 이미지 분포에 대한 사전 지식으로 정규화를 담당한다.
DNN을 이용한 방법 :

위 방법들은 본질적으로 y에서 x로의 매핑 학습을 장려하기 때문에(직접 최적화) 다른 도메인에서 일반화 능력이 떨어짐.
사전 훈련 모델 g의 잠재 코드 w를 이용한 개선된 방법 :

Range-Null space 분해에 대한 논문인데 수치해석 쪽은 자세히는 잘 몰?루 (어차피 밑에서 설명함)
어쨌든 적절한 null-space 콘텐츠를 찾는 것이 중요하고 확산 모델이 이상적인 null-space 콘텐츠를 산출할 수 있다고 한다.
DDNM은 최적화 또는 네트워크의 수정없이 역확산 과정에서 null-space 콘텐츠의 정제 만으로 현실적이고 일관성 있는 결과를 산출할 수 있다고 한다. 또한 super-resolution, colorization, compressed sensing, inpainting, deblurring 등 다양한 작업에서 최첨단 성능을 보여줌.

본 논문의 기여
- 사전 훈련된 모델의 역확산 과정에서 null-space만 정제하여 제로샷 선형 IR 문제를 해결함.
- 복잡한 IR 문제 해결을 위한 time-travel trick 제시.
- 다양한 실험
Background
확산 모델 설명은 생략.
Range-Null Space Decomposition
선형 변환 행렬 A가 있을 때, 의사 역행렬 A+를 통해 샘플 x를
(A+A는 x를 A의 range=column space로 투영시킨다, 참조)

A의 range space에 있는 부분(첫째 항), A의 null space에 있는 부분으로 분해할 수 있다.
x에 A를 적용하면 앞 항은 그대로 Ax가 되고(모든 성분이 행렬 A의 range space에 있기 때문에) 뒷 항은 0이 된다(모든 성분이 null space에 있기 때문에).

Method
Denoising Diffusion Null-Space Model
노이즈 없는 IR부터 시작.


y에서 다음 두 제약 조건을 준수하는 이미지 x̂을 생성하는 것을 목표로 함. (q(x) = ground truth의 분포)

일관성 제약과 range-null space 분해에 의해 목표인 x̂을 다음과 같이 정의할 수 있다.

x̄가 무엇이든 일관성에는 전혀 영향이 없기 때문에, 우리의 목표는 realness를 위한 적절한 x̄를 찾는 것이다.
Range space와 조화를 이루는 null space를 생성하기 위해 확산 모델을 이용한다.

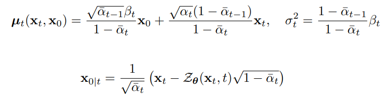
xt에서 깨끗한 이미지 x0ㅣt를 얻는다. (사전 훈련 확산 모델로, 원래 DDPM과 같음.)

얻은 것을 null space 정보로 사용하고 range space는 고정하여 추정치 산출 (그림 참조)

이러한 방법으로 null space만 역확산 과정에 참여시킨다.
xt-1은 말하자면 x̂0ㅣt의 노이즈 추가 버전이며, 추가되는 노이즈는 계속해서 range-null space 간의 불일치를 지운다.
최종 결과는 모든 역확산 과정에서 일관성을 준수한 x0 ~ q(x).
지금까지의 방법을 Denoising Diffusion Null-Space Model (DDNM) 이라고 함.

Examples of constructiong A and A+
Inpainting, colorizing, super-resolution 작업에서 A+를 간단히 설정하는 방법에 대해 알려주는 파트이다. 너무 지엽적이므로 pass.
DDNM+
DDNM은 특정 사례나 노이즈가 많은 상황에서 좋지 않기 때문에 강화 버전 제안.
노이즈가 많은 IR을 지원하기 위한 range-space 보정
노이즈가 많은 IR 문제를 y = Ax + n(랜덤 노이즈)으로 정의하면

A+n은 추가적인 노이즈이며, 두 번째 항은 range-space를 건드리게 된다(A+A).
x̂0ㅣt는 xt-1의 평균을 구하는 데 사용되기 때문에 노이즈를 추가할 수 없다.
문제 해결을 위해 수정된 DDNM : (A+n을 떼고, 스케일링 계수(행렬) 추가)

Σ는 range-space를 건드는 부분을 스케일링, Φ는 추가될 노이즈를 스케일링한다.
두 계수는 두 가지 원칙에 의해 선택된다.
- Φ : 사전 훈련 모델이 t-1 단계에서 예측해야 할 노이즈의 분산(1 − ᾱt)을 준수
- Σ : Range-space의 보존을 위해 가능한 I에 가까워야 함
(이 부분은 몰라도 됨...)
위에 언급한 A+를 간단히 구할 수 있는 세 가지 IR 작업에 대해서는 다음과 같이 치환할 수 있고

원칙 1에 의해 :

원칙 2에 의해 :

다른 작업에 대해서는 특이값 분해로 구해야 함...
Non-Gaussian noise는 Gaussian noise로 근사해서 똑같이 하면 됨.
더 나은 복원을 위한 Time-Travel
SR with large-scale average pooling downsampler, low sampling ratio compressed sensing(CS), inpainting with a large mask 작업 등 range-space가 너무 국소적인 경우 낮은 realness가 관찰되었다.
확산 모델의 학습은 사후 분포 p(xt−1|xt, x0)의 추정에 의존한다.
DDNM에서 t 시점의 x0 추정치로 x̂0ㅣt를 사용하는데, 이때 range-space가 너무 국소적이면 부조화스러운 null-space를 갖게 된다.

Time-travel은 명칭은 다르지만 최근 다른 논문들에서도 꽤 보이는 방법으로, t 시점에서 순방향 확산(q(xt+l|xt))으로 다시 t+l 시점으로 되돌아간 다음, 다시 DDNM을 진행하는 전략이다.

Experiments
Papers With Code에 들어가 보면 12월 7일 현재 꽤 많은 IR 작업들에서 SOTA거나 순위권인 성능을 보여준다.

